Читать книгу 📗 "Как постепенно дошли люди до настоящей арифметики [без таблиц] - Беллюстин Всеволод Константинович"
Въ составъ средневѣковыхъ ариѳметикъ входили еще такъ называемыя математическія развлеченія. Трудно и скучно было тогдашнимъ ученикамъ. Сухое изложеніе, мудреный языкъ, масса научныхъ терминовъ, отсутствіе объясненій [10] — все это приводило къ тому, что ученье обращалось въ долбленье, и только болѣе счастливые, т. е. болѣе сильные, умы могли справляться съ матеріаломъ, перерабатывать и понимать. Вотъ когда появились поговорки: «корень ученья горекъ» и «лучше книги не скажешь». Чтобы хотъ нѣсколько оживить учениковъ, утѣшить и ободрить, ихъ назидали, во-первыхъ, увѣ-щательными стихами, гдѣ воспѣвалась вся сладость подвига и вся цѣнность результатовъ, которыхъ имѣетъ достигнуть «мудролюбивый» отрокъ:
Во-вторыхъ, давались задачи съ оотроумнымъ содержаніемъ и требовавшія особенной изворотливости и догадки. Вотъ задача изъ сборника, приписываемаго Алькуину (въ 8 в. по Р. X). Рукопись относится приблизительно къ 1000 г. по Р. X. «Два человѣка купили на 100 сольдовъ свиней и платили за каждыя пять штукъ по 2 сольда. Свиней они раздѣлили, продали опять каждыя 5 штукъ по 2 сольда и при этомъ получили прибыль. Какъ это могло случиться? А вотъ какъ: на 100 сольдовъ приходится 250 свиней, ихъ они раздѣлили пополамъ, на 2 стада, и изъ перваго стада отдавали по 2 свиньи на 1 сольдъ, а изъ второго по 3; тогда достаточно выдать по 120 штукъ изъ каждаго стада, такъ какъ придется получить 60 сольдовъ за свиней перваго стада, 40 за свиней второго, всего 100 сольдовъ; 5-ть же штукъ изъ каждаго стада останется въ прибыли». Требуется разгадать эту загадку.
Въ сборникѣ Алькуина содержится извѣстная загадка о волкѣ, козѣ и капустѣ, которыхъ надо перевезти черезъ рѣку, съ такимъ условіемъ, что въ лодкѣ нельзя помѣщать волка съ козой, козы съ капустой, и оставлять на берегу тоже нельзя вмѣстѣ, потому что они съѣдятъ; какъ же это устроить?
Лучшій сборникъ задачъ-загадокъ издалъ Баше-де-Мезиріакъ въ 1612 году, заглавіе его такое: Problèmes plaisantes et dèlictables qui se font par les nombres. Въ немъ помѣщена большая часть тѣхъ задачъ, какія встрѣчаются и сейчасъ въ сборникахъ этого рода, наприм., о задуманныхъ числахъ, о работникѣ, котораго нанимаетъ хозяинъ съ условіемъ платить ему за рабочіе дни и вычитать за прогульные, и т. д.
Въ старинныхъ русскихъ ариѳметикахъ можно отмѣтить такія интересныя задачи: «I. Пришелъ христіянинъ въ торгъ и принесъ лукошко яицъ. И торговцы его спрошали: много-ли у тебя въ томъ лукошкѣ яицъ? И христіянинъ молвилъ имъ такъ: язъ, господине, всего не помню на перечень, сколько въ томъ лукошкѣ яицъ. Только язъ помню: перекладывалъ язъ тѣ яйца изъ лукошка по 2 яйца, ино одно яйцо лишнее осталось на земли; и язъ клалъ въ лукошко по 3 яйца, ино одно же яйцо осталось; и язъ клалъ по 4 яйца, ино одно же яйцо осталось; и язъ клалъ по 5 яицъ, ино одно же яйцо осталось: и язъ ихъ клалъ по 6 яицъ, ино одно же яйцо осталось; и язъ клалъ по 7 яицъ, ино все посему пришло. Ино, сколько яицъ въ томъ лукошкѣ было, сочти ми? Придетъ было 721. II. Левъ съѣлъ овцу однимъ часомъ, а волкъ съѣлъ овцу въ 2 часа, а песъ съѣлъ овцу въ 3 часа. Ино, хощешь вѣдати, сколько бы они всѣ три: левъ, волкъ и песъ овцу съѣли вмѣстѣ вдругь и сколько бы они скоро ту овцу съѣли, сочти ми [11])?
III. О деньгахъ въ кучѣ вѣдати. Аще хощеши въ кучѣ деньги вѣдати, и ты вели перевесть по 3 деньги. А что останется отъ 3-хъ—2 или 1, и ты за 1 по 70. Да опять вели перевести по 5, и что останется—4 или 3, или 2, или 1, и ты за 1 клади по 21. Да опять вели перевести по 7, и что останется — 6 или 5, или 4, или 3, или 2, или 1, и ты тако же за всякій 1 клади по 15. Да что въ остаткахъ перечни родились, и тѣ перечни сочти вмѣсто, а сколько станетъ, и ты изъ того перечню вычитай по 105, и что останется отъ сто пяти или сама сто пять, то столько въ кучѣ и есть».
Немаловажной статьей среди математическихъ развлеченій были магическіе квадраты. Что такое магическій квадратъ? Это рядъ чиселъ отъ 1 и до какого-нибудь предѣла, размѣщенныхъ по клѣткамъ квадрата такъ, что сумма чиселъ по діагоналямъ и по сторонамъ остается постоянной. Вотъ примѣры, взятые изъ сборника Алькуина (этотъ ученый особенно любилъ магическіе квадраты):
![Как постепенно дошли люди до настоящей арифметики [без таблиц] - i_123.jpg](/uploads/posts/books/texts/litmir/283586/122337/1333222810/i_123.jpg)
![Как постепенно дошли люди до настоящей арифметики [без таблиц] - i_124.jpg](/uploads/posts/books/texts/litmir/283586/122337/1333222810/i_124.jpg)
Они встръчаются въ сочиненiяхъ секты «Чистыхъ братьевъ», существовавшей въ X в. по Р. X. въ г. Аль-Бассра. Эта секта приписывала магическимъ квадратамъ особенную таинственную силу. Вѣрили, что они способны измѣнить расположеніе звѣздъ при рожденіи младенца и помочь ему.
Въ концѣ ариѳметики Іоанна Севильскаго (1150 года) приведенъ такой магическій квадратъ:
![Как постепенно дошли люди до настоящей арифметики [без таблиц] - i_125.png](/uploads/posts/books/texts/litmir/283586/122337/1333222810/i_125.png)
Объясненія не дано, только помѣщены тѣ же самыя черточки, какія и на этомъ чертежѣ.
Исторія алгебры.
Хотя народы древвяго міра не знали нашей алгебры, но это не мѣшало имъ заниматься такими вопросами, которые принадлежатъ, собственно говоря, алгебрѣ. Еще у египтянъ въ древнѣйшей рукописи-папирусѣ Ринда рѣшаются уравненія первой степени съ однимъ неизвѣстнымъ; въ этихъ уравненіяхъ мы встрѣчаемъ и знаки, напр., своеобразный знакъ равенства / / . Задача помѣщена, между прочимъ, такая: «⅔ цѣлаго числа вмѣстѣ съ его ½, и 1/7 и съ этимъ же цѣлымъ числомъ даютъ 33, найти неизвѣстное»; прежде всего отбираются извѣстные члены въ одну часть, а неизвѣстные въ другую, коэффиціенты при неизвѣстныхъ представляются основными дробями (т. е. съ числителемъ 1) или же выражаются въ одинаковыхъ доляхъ и складываются; величина неизвѣстнаго опредѣляется такъ: въ первомъ случаѣ умножается коэффиціентъ на подходящее число, такъ чтобы въ произведеніи получился извѣстный членъ, а во второмъ множатъ извѣстный членъ на знаменателя коэффиціента и полученное дѣлятъ на числителя.
Греческіе ученые занимались алгеброй въ періодъ времени съ VI ст. до Р. X. и кончая IV ст. по Р. X. Они разработали нѣсколько отдѣловъ ея, но ихъ труды идутъ въ иномъ направленіи, чѣмъ какого держится новѣйшая математика, именно они носятъ на себѣ геометрическую окраску.
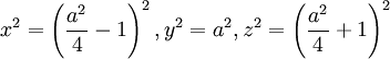
Прежде всего Пиѳагоръ (въ VI ст. до Р. X.) и Платонъ (въ V ст.) рѣшили въ цѣлыхъ числахъ уравненіе х2+y2=z2.
Пиѳагоръ далъ такія формулы:
![Как постепенно дошли люди до настоящей арифметики [без таблиц] - i_126.png](/uploads/posts/books/texts/litmir/283586/122337/1333222810/i_126.png)
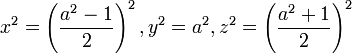
гдѣ а равно любому нечетному числу; по Платону
![Как постепенно дошли люди до настоящей арифметики [без таблиц] - i_127.png](/uploads/posts/books/texts/litmir/283586/122337/1333222810/i_127.png)
гдѣ а любое четное число.
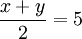
Діофантъ, жввшій въ Александріи въ 4 в. по Р. X., оказалъ алгебрѣ большія услуги. До него древніе не знали употребленія буквъ при доказательствахъ въ общемъ видѣ, Діофантъ же первый сталъ вводить различные знаки для неизвѣстныхъ величинъ, главнымъ образомъ греческія буквы; ему обязана своей разработкой глава объ уравненіяхъ, именно объ уравненіяхъ первой степени со многими неизвѣстными и о полныхъ квадратныхъ уравненіяхъ. Вотъ примѣръ изъ Діофанта:
x + y = 10, x2 + y2 = 68
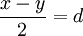
дѣлимъ 1-е уравненіе на 2 и получаемъ
![Как постепенно дошли люди до настоящей арифметики [без таблиц] - i_128.png](/uploads/posts/books/texts/litmir/283586/122337/1333222810/i_128.png)
теперь положимъ, что
![Как постепенно дошли люди до настоящей арифметики [без таблиц] - i_129.png](/uploads/posts/books/texts/litmir/283586/122337/1333222810/i_129.png)
тогда
![Всеволод Беллюстин - Как постепенно дошли люди до настоящей арифметики [без таблиц] - Читать 📖 Читать онлайн 👀 Читаемые книги читать онлайн бесплатно 🔥 booksread-online.com](/uploads/posts/books/217231/217231.jpg) 
	